1、引言
实时、快速监测矿区周围地表水状况是防治矿区水环境污染的前提。悬浮物(suspendedsub-stance,SS)是水体中悬浮物颗粒物质的总称,浊度(turb)即水体的混浊程度是用来估计悬浮物质量的关键。传统水质参数检测手段是实地采样,通过实验室生化检测获得,该方法能对水质指标做出较为精确的评价,但由于样品少、耗时长,难以全面表达地表水的水质状况。遥感技术具有高动态、低成本和宏观性等优势,可以快速对大范围水域进行监测,反映水质在空间和时间上的分布和变化情况。
1、数据采集分析
选择河南省信阳市罗山县定远乡石材开采区(31°44′~31°52′N,114°26′~114°34′E)水库为研究区,使用高光谱辐射仪在350~1000nm波谱段内按照1.4nm间隔采样,1001~2500nm波段采样间隔为2nm。水面光谱采用倾斜法进行测量,每次测定前需对辐射仪进行校正,单个样点重复采集5次,以均值为光谱反射值。
依据采集光谱数据绘制水面光谱反射曲线(图2)。由图2可以看出,采样点在350~500nm波段区间反射率变化基本一致,光谱反射率较低,这是由于水体叶绿素与其他可溶性有机物在该波段内的吸收率较高。反射率随着波长的增加而增大,波峰出现在580nm附近。达到峰值后,反射率随着波长的增大迅速降低,在800~1000nm的近红外波段趋近于0,这是由于纯水的吸收波段主要在近红外波段内。
图2 水面实测光谱反射率
使用无人机搭载推扫式高光谱相机,其光谱范围为380~1000nm,光谱和空间分辨率为3.5nm 和0.22m。波段小于400nm和大于900nm的信噪比较低,故选择400~900nm 波段。对高光谱影像进行小波变换滤波见式(1)
经小波滤波去噪,高光谱数据前后对比(图3)。
图3 无人机高光谱反射率小波去噪
2、研究方法
采用相关分析法,根据地面实测光谱数据与悬 浮物浓度、浊度的关系,选择出最佳反演波段,并利用决定系数(R2)与均方根误差(RMSE)对线性模型、指数模型和乘幂模型进行评定,建立水质参数反演模型。推广到无人机高光谱数据中,选择最优波段,对选择出的波段进行悬浮物浓度与浊度反演。水质参数与水面光谱数据相关性分析。计算不同波长反射率与目标参数间的相关系数,分析波长反射率与目标参数之间关联性。构建归一化差值指数式,见式(2)。
式中:ρi、ρj代表第i、j波段水面实测反射率;i、j取值范围为350~1000nm。计算NDSI与悬浮物浓度、浊度间的Pearson相关系数,见式(3)。
式中:R为相关系数;n为样品总数(取值20);xi为第i个样品的光谱值;yi为第i个样品的水质参数。选择相关性最高波段组合构建NDSI,建立研究区悬浮物浓度和浊度的反演模型。计算均方根误差进行模型精度评定,由于样本数量较少,本文采用留一法(leave-one-out)交叉验证数据,对模型进行精度评价。采用式(4)的表达式。
3、结果与分析
4.1 水质参数反演模型构建
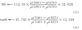
通过逐波段遍历构建NDSI,计算其与悬浮物浓度、浊度间的Pearson相关系数。建立相关性分布图4、图5。观察单波段反射率与水质参数间的相关系数分布(图4),水质参数的相关系数随波长的变化呈现出相似的趋势,即悬浮物浓度值越高,对应水体浊度值越高,这一现象与两水质参数的定义相吻合。分析相关系数等值线分布(图5),悬浮物浓度相关系数最大值为0.856,对应波长500、670nm;浊度相关系数最大值为0.874,对应波长540与625nm。本研究决定以NDSI(500,670)和NDSI(540,625)为自变量,分别构建研究区水库的悬浮物浓度和浊度反演模型。
图4 悬浮物浓度、浊度与反射波谱的相关性分布
图5 相关系数等值线分布
表1 水质参数反演模型分析
图6 悬浮物浓度与浊度反演结果
构建的水域水质参数(悬浮物浓度(SS)、浊度(turb))反演模型为式(5)、式(6)。
4.2无人机高光谱水质参数反演
将无人机获取的同时期研究区高光谱影像数据结合构建的水质参数反演模型进行反演,绘制出水库悬浮物浓度和浊度分布。如图8所示,矿区附近水域的悬浮物浓度在0~97mg/L,多数处在4~13mg/L;浊度则在0~45度,多数处在5~8度。水体较为清澈,无明显污染现象,水库边界处的悬浮物浓度和浊度较高,与反演结果一致,符合实际实地调研结果。
图8 矿区水域水质参数浓度分布
4、结论
本文以实测光谱和采样的水质参数为数据源建立反演模型,利用无人机高光谱遥感,实现水体悬浮物浓度和浊度的精准监测。通过实例验证,得出结论:①采用波长500、670和540、625nm计算的归一化差值指数所构建的线性模型,可以作为悬浮物浓度与浊度的反演模型;②基于本文建立的水质参数反演模型,利用无人机高光谱遥感,可以快速监测小中型水域的水质参数。相比于卫星影像,无人机有着实时、高时间空间分辨率的优点,可用于矿区水域污染监测预警,对矿区环境保护有着重要参考意义。随着高光谱卫星的发展,未来可以进一步探讨基于高光谱卫星影像的水质反演,优化模型降低成本,提供稳定的时序监测能力,为水质监测与环保提供长期的参考与支持。
推荐:
便携式地物光谱仪iSpecField-NIR/WNIR
专门用于野外遥感测量、土壤环境、矿物地质勘探等领域的最新明星产品,由于其操作灵活、便携方便、光谱测试速度快、光谱数据准确是一款真正意义上便携式地物光谱仪。
无人机机载高光谱成像系统iSpecHyper-VM100
一款基于小型多旋翼无人机机载高光谱成像系统,该系统由高光谱成像相机、稳定云台、机载控制与数据采集模块、机载供电模块等部分组成。无人机机载高光谱成像系统通过独特的内置式或外部扫描和稳定控制,有效地解决了在微型无人机搭载推扫式高光谱照相机时,由于振动引起的图像质量较差的问题,并具备较高的光谱分辨率和良好的成像性能。
便携式高光谱成像系统iSpecHyper-VS1000
专门用于公安刑侦、物证鉴定、医学医疗、精准农业、矿物地质勘探等领域的最新产品,主要优势具有体积小、帧率高、高光谱分辨率高、高像质等性价比特点采用了透射光栅内推扫原理高光谱成像,系统集成高性能数据采集与分析处理系统,高速USB3.0接口传输,全靶面高成像质量光学设计,物镜接口为标准C-Mount,可根据用户需求更换物镜。