
实验场位于北京市大兴区(N: 39°39'2. 56″,E: 116°34'33.10″),长 40 m,宽 20 m。在实验场分别设计 8 个草地、大豆实验小区,各有四个天然气胁迫区和对照区,实验小区大小为 2. 5 m × 2. 5 m,各小区间隔为 0. 5 m,天然气泄漏点位于中心位置,泄漏速率为1 L·min-1.
冠层数据测量仪器为光谱仪,其光谱范围为 350 ~ 2 500 nm,共 1 024 个波段,光纤视场角为 25°。选择天气晴朗时进行野外实地采集,时间为北京时间10:00—14:00,第一次数据采集日期为 2016 年 8 月 26 日。每个测区沿着东西轴线均匀布设 4 个测量点,在每个小区测量光谱之前用标准板校正光谱仪,垂直测量距离为 1 m。冠层数据采用 5点平滑法进行平滑处理,如式(1)

式(1)中,Ri为第 i 波段的反射率值,R平滑为每个波段平滑后的反射率值。

图 1 数据采集与实验
1.3 数据处理与分析方法
1. 3. 1 一阶微分处理
植被光谱一阶微分处理可以有效消除或减弱土壤背景的影响,突出植被光谱曲线上相关的生化方面的细微变化,更有利于反映植被差异特征。

式(2)中,f(Ri)为第 i 波段的光谱反射率,为 f'(Ri)波长的一阶微分值,ΔR 为 Ri + 1到 Ri的间隔。
1. 3. 2 连续小波变换处理
连续小波变换(CWT) 处理光谱曲线后可以增强光谱吸收特征信息,通过一个小波基函数将光谱曲线在不同尺度上转换成对应的小波系数,如式(3)和式(4)

式(3)和式(4) 中,f(t) 为光谱反射率数据; t 为光谱波段;φa,b(t)为小波基函数; a 为尺度因子,b 为平移因子。
1. 3. 3 J-M 距离
J-M 距离具有收敛性,其判别标准如下,通常用 J2ij来表达,当 0 < J2ij≤1. 0 时,类别之间无可分性; 当 1. 0 < J2ij≤1. 8时,类别之间有一定可分性,但也有部分重叠; 当 1. 8 < J2ij≤2. 0 时,类别间具有很好的可分性,可用式(5)和式(6)表示。


式(6)中,σi和 σj为相应的矩阵样本协方差; μi和 μj分别为类别 i 和 j 的样本平均向量。
1.4 选用的植被指数
根据前人研究结果,选择了部分植被指数并与本研究设计的指数进行对比分析。
表 1 高光谱指数

草地在天然气泄漏胁迫 11 天后,可见光范围内(380 ~760 nm) 反射率差异较小,近红外范围内(760 ~ 900 nm) 反射率降低。从图 2 可以看出,随着胁迫持续,可见光范围内反射率逐渐增大,近红外范围内反射率降低,但胁迫组和对照组的差距在减小。大豆在受天然气泄漏胁迫 11 天后可见光范围内反射率没有变化,近红外范围内反射率稍微减小,随胁迫持续进行,可见光范围内反射率仍没有显著差异,而近红外范围内差异在增大。天然气泄漏胁迫使草地和大豆的光谱曲线发生了变化,但是不同植被的光谱曲线变化具有差异性。从图 2 中可以看出,胁迫第 22 天时,冠层光谱一阶微分处理后,草地胁迫组出现轻微的红边蓝移现象,红边蓝移达9 nm,但是大豆的胁迫组并未出现明显的红边蓝移现象。在整个生育期都具有上述规律。
选择的小波基函数为 Bior1. 3(双正交样条),分解尺度为 21,22,23,24,25,26共六个尺度,用 Matlab R2014a 软件对草地和大豆冠层光谱数据进行一阶微分和 CWT 处理,将每条处理后的光谱曲线分解成上述尺度小波系数。分解尺度小,包含的细微信息多,则不利于敏感波段选择; 分解尺度大,包含的细微信息少,信息量损失较多,同样不利于选择敏感波段。因此通过分析不同尺度的小波系数图发现在 700~ 770 nm 内,尺度 22和 23有多处峰值和谷值,表明在不同波段位置对照组和实验组具有差异性,且变化剧烈,稳定性较差; 尺度24和 25有较少的峰值和谷值,尺度25曲线过于平滑,信息损失量过大,因此选择尺度 24进行敏感波段分析,如图 3 所示。对照组与实验组的一阶小波能量系数进行差值分析,从图 3 中可见,草地对照组与实验组在 685,718和 745 nm 附近差异较大; 大豆对照组与实验组在 685,700,715,745 和 765 nm 处有较大差异,综合草地和大豆的多期实测数据分析,发现 685 和 715 nm 处的差值规律具有一定的稳定性,因此选择 685 和 715 nm 作为敏感波段来检测天然气然气泄漏胁迫下的草地和大豆,从而构建 DW 指数: DW685- DW715) /(DW685+ DW715)。

图 2 9 月 30 日草地( a) 和大豆( b) 冠层光谱反射率,9 月 19 日草地( c) 和大豆( d) 一阶微分数据

图 3 草地( a) 和大豆( b) 小波能量系数和实验组与对照组的能量系数差值( c)
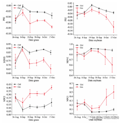
设计归一化指数 DW 与 PRI,NDVI,NPCI,D725/ D702等四个指数进行定性与定量地比较分析,并用 JM 距离定量地比较对照组与实验组之间的可分性。从表 2 中可见,草地 PRI,NDVI 和 NPCI 从胁迫第 33 天开始,对照组与实验组之间的 J-M 距离大于 1. 8,而构建的DW 指数与 D725/ D702从胁迫第 22 天开始就可以稳定地识别天然气胁迫下的草地。大豆 PRI,NDVI,NPCI 和 D725/ D702在整个实验期内 J-M 距离都小于 1. 8,而 DW 指数从胁迫第 22天开始就可以很好地识别天然气胁迫下的大豆,且D725/ D702指数并不具备识别大豆的能力,因此 DW 指数更具有普适性。PRI,NDVI,NPCI 和D725/ D702指数在胁迫 33 天后均能够识别天然气泄漏胁迫下的草地,而无法识别胁迫大豆,说明草地对天然气泄漏胁迫的敏感性高于大豆。PRI,NDVI,NPCI 和 D725/ D702指数不能同时识别天然气胁迫下的草地和大豆,对不同植被缺乏稳定性,而 DW 指数可以稳定地识别天然气胁迫下的草地和大豆,具有一定的普适性。


图 4 实验组和对照组不同高光谱指数对比图

表 2 草地和大豆不同高光谱指数 J-M 距离
通过野外模拟天然气地下储气库或管道微泄漏对地表植被的胁迫实验,分析植被光谱变化特征,构建微泄漏点识别模型,主要得出以下结论:
(1) 天然气微泄漏胁迫下的草地与大豆冠层光谱与对照组相比,在可见光区域变化不一致,但在近红外区域都降低了。
(2) 在一阶微分处理基础上对光谱进行连续小波变换,通过小波能量系数发现 685 和 715 nm 是区分对照组与胁迫组的敏感波段。
(3) 通过 J-M 距离检验,结果表明 DW 指数在天然气微泄漏胁迫发生 22 天后,可以稳健地区分健康与胁迫的草地与大豆,而 PRI,NDVI,NPCI,D725/ D702指数仅能够在胁迫33 天后识别健康与胁迫草地,则在整个生育期无法准确地识别健康与胁迫大豆。DW 指数既可以早于其他指数识别天然气微泄漏下胁迫下的植被,又能够同时识别胁迫草地与大豆,具有一定的普适性与鲁棒性。因此利用高光谱通过植被的光谱曲线变化来检测天然气泄漏点的方法有可行性; 但本实验仅选择两种植被,还需通过更多植被来进行检验与验证。