基于无人机高光谱遥感的淇澳岛红树林冠层叶片功能性状反演
发布时间:2023-12-09


image.png 

1、引言

叶片功能性状及其在冠层尺度所展现出的功能特性是陆地生态系统中植物生理生态过程和生物地球化学循环过程的主要决定因素。开展叶片功能性状的定量化研究,有助于理解植物对环境的适应性进化策略以及生物多样性与生态系统功能间的内在关联。在高光谱遥感技术出现前,有关叶片功能性状的研究多集中在叶片尺度,地面调查是其主要的数据获取方式。目前系统性的野外调查已累积了丰富的植物叶片功能性状数据,但野外调查数据获取过程耗时耗力,且存在一定局限性,如数据的时空覆盖度不均衡,涉及的物种多为群落优势物种,难以在群落和生态系统尺度应用,部分关键生态系统内的观测数据严重不足等。高光谱遥感,特别是成像光谱仪技术的成熟,为冠层尺度叶片功能性状的估算提供了新的方法。

2、研究方法

2.1 研究地概述

研究区(22°2540.8N113°3748.2E)位于淇澳红树林自然保护区内(图1)。淇澳红树林自然保护区地处淇澳岛西北部,与中山、深圳、香港隔海相望,属于湿地型的自然保护区,湿地总面积约5103.77hm2 ,其中红树林面积约500hm2,主要 保护对象为红树林生态系统和鸟类。

image.png 

1研究区地理位置

a. 可见光影像覆盖区域;b. 高光谱影像覆盖区域)

以淇澳岛红树林自然保护区内的原生红树林群落为研究对象,选取400m×120m范围作为核心研究区域(图1-b),区域内主要分布以秋茄、桐花树、老鼠簕、卤蕨和蒲苇组成的原生红树林群落,群落周围另存一些人工种植的红树物种,如海滨猫尾木、黄槿)、银叶树和海杧果等集群分布。本研究通过无人机携带可见光相机和高光谱成像仪获取林冠影像数据。

2.2 叶片功能性状测量

使用高枝剪共采 47株个体的阳叶枝条,涵盖27个红树物种及伴生物种,具体为桐花树3株,白骨壤3株,黄槿3株,杨叶肖槿3株,无瓣海桑3株,木榄3株,秋茄3株,海杧果2株,银叶树2株,鱼藤2株,蒲苇2株,海漆2株,老鼠簕2株,卤蕨1株,尖叶蕨1株,苦郎树1株,厚藤1株,草海桐1株,桤果木1株 ,玉蕊1 株,海滨猫尾木1株,榄李1株,苦槛蓝1株,海葡萄1株,木果楝1株,红海榄1株,水椰1株。每个叶片样本包括20~30个,获取后立即测量鲜叶重量,扫描叶面积,叶片打孔后放入液氮速冻。之后将叶片样本置于烘箱于65℃烘至恒重,称取干叶重量,用以计算比叶重LMA(干重/叶面积,g/m2)。干叶经过化学分析得到叶片养分含量 NmassPmassKmassmg/g),通过比叶重计算基于面积的含量NmassPmassKmasg/m2),冷冻的叶片利用液氮捣碎,放入95%乙醇溶解,再利用紫外可见光分光光度计测量,根据的公式计算得到叶绿素Cab和类胡萝卜素含量Cxcµg/cm2)。

3、结果分析

3.1 淇澳岛红树林叶片功能性状实测结果

本研究共采集了47株个体的叶片进行叶片功能性状测定,共涉及27个红树及其伴生物种。用于功能性状测定的有效样本数为 44~47个不等(表 1)。变异系数方面,Parea的变异系数最大,达到0.54Cab的变异系数最小,为0.27

1 叶片功能性状统计数据

image.png 

3.2 淇澳岛红树林冠层光谱特征及功能性状的无人机遥感反演结果

淇澳岛红树林的冠层反射光谱在550nm处存在 一个5%左右的反射峰,红边位置位于680~780nm 处,反射峰值约为30%。光谱的变异性主要存在于530~560750~900nm,在750~900nm的变异性最大(图2)。

image.png 

2淇澳岛红树林树冠光谱特征 (a.不同物种的冠层反射光谱;b.不同物种冠层光谱的平均值及标准差)

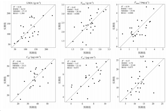
对研究区红树林的叶片功能性状进行高光谱遥感反演,结果表明,2种方法分别适用于不同叶片功能性状的反演,结果为R2 0.44Narea次之,R20.42(图3),NmassKmassPareaKarea的反演结果不理想,R2皆小于0.3

image.png 

3植物叶片功能性状的实测值与高光谱遥感反演预测值对比

4、结论与讨论

本研究以珠海淇澳岛红树林群落为对象,通过无人机高光谱数据 处理方法,反演研究区内红树林的10种冠层叶片功能性状。结果表明,PLSR+NDVI的方法更适用于 红树林冠层叶片 LMAPmassNarea的反演,PLSR+CWT的方法更适用于N/PCabCxc的反演,但以上2 种方法用于反演NmassKmassPareaKarea的结果均不理想(R2<0.3)。

此外,淇澳岛红树林中包含卤蕨和蒲苇等草本植物,本研究建立的高光谱反演模型是混合了草本和木本2类生活型植物的混合反演模型,其精度可能受此影响较大。从淇澳岛红树林叶片功能性状结果看,淇澳岛红树林的光合固碳能力以及养分含量均优于全球红 树林的平均水。本研究实测的淇澳岛红树林叶片LMA均值(118.09 g/m2)小于数据库中红树林叶片的LMA均值 (158.00 g/m2), 而 Nmass均值(22.22mg/g)、Pmass均值 2.08mg/g)、Narea均值(2.38 g/m2)和Kmass均值 14.69mg/g)则大于数据库中红树林叶片的Nmass均值 15.00mg/g)、Pmass均值(1.30mg/g)、Narea均值 2.0 g/m2)和Kmass均值(8mg/g)。这一方面与不同地区的群落物种组成差异有关,另一方面也可能是中国华南地区强烈的氮沉降以及人为干扰所导致的。 

本研究表明,通过无人机高光 谱数据反演得到的红树林冠层叶片功能性状,较好地反映红树林群落的水平结构和功能,结合地面调查数据,可深入挖掘物种组成与功能性状空 间格局以及生态系统功能和过程的内在关系,在群落和生态系统尺度上实现红树林的快速调查和评估。基于无人机高光谱遥感的红树林冠层叶片功能 性状反演,为空天地一体化监测红树林动态提供了基础。红树林生态系统是一类便于无人机作业的生态系统,物种组成相对简单,空旷的潮间带为无人机提供了优越的飞行条件。